新祥旭考研官网欢迎您!


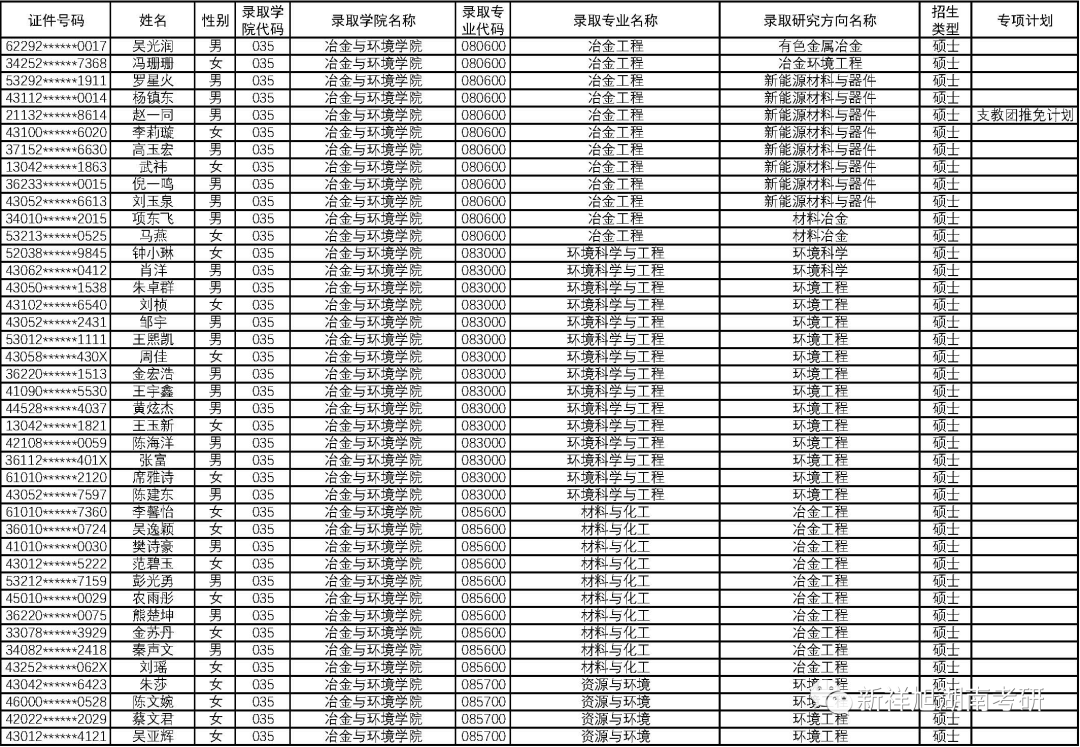
2023年中南大学冶金与环境学院拟录取推荐免试研究生名单公示

新祥旭考研聂老师xxx-nls / 2022-11-09

 

全方位权威辅导,考研复试效率高

面授一对一
在线一对一
魔鬼集训营
咨询课程 预约登记

以效果为导向    以录取为目标

添加微信咨询考研问题
北清考研定制 985考研定制 211考研定制 学硕考研定制 专硕考研定制 北京考研私塾
x