1、关于择校和定专业。
(1)考研的原因及考虑到的因素:
我本科就读的是某双非院校的计算机科学与技术专业,最开始决定考研的时候是先分析了自己的自身情况,包括考研的优略势。因为考研英语不需要听力,而我刚好英语听力是弱项,强项在阅读模块。除此之外我数学学习基础还可以,所以决定了考研。但是接下来就遇到了一个问题是专业课。由于大学四年荒废的不行,专业课基本没有好好学,对专业课极其不自信,前期一直在考虑是否需要转专业,后面发现有一些院校是只要考两门专业课的,于是认真分析对比了之后,选择了中国地质大学(武汉)的电子信息。
当时选择的理由一个是有直系学姐去年上岸了该院校的电子信息,对我提供了很多帮助,在信息战方面为我提供了一些便利(联系上学长学姐这点真的很重要)。其次是分析当年的考研状况,在21届考研,该院校的计算机学院的电子信息比20届分数增长了30分左右,在330的样子,我预估今年高的话也许是360左右,并且评级是B,又地处武汉,各方面条件我都能接受,所以定下来了。
然后就是再发生了一个小插曲,由于一些因素,我专业课准备的非常晚,以至于可能考前都来不及学完,恰好在报名前一天了解到中国地质大学gis研究中心学院的电子信息,该院是新开才没几年,知道的人并不多,在专业课学习可能不扎实的情况下,并且当时地质大学(武汉)上了计算机考研热搜前三,我立马决定转战gis中心电子信息(事实证明我选择十分正确)。
(2)考研报录情况介绍、考研难度分析:
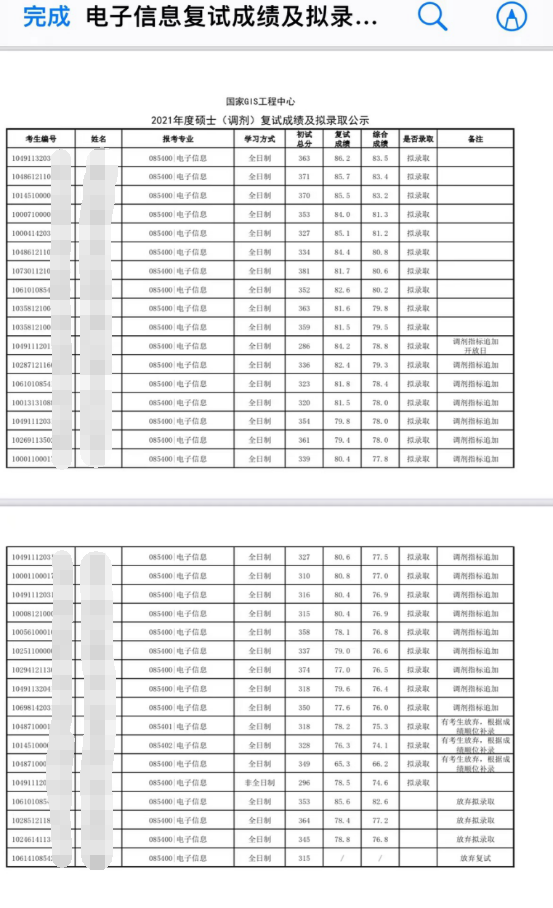
由于新开设的院,参考信息非常有限,这是当时唯一能看到的前一年的录取情况,看数据能看出不但当时一志愿过国家线就收了,甚至还没招满,调剂指标追加了许多。
但是今年过国家线的刷了几个,招收的人数也多很多,调剂的时候知道的人就多很多,竞争非常激烈,两百多个人里面选几个,都是380+。从这里也可以看出信息战和分析十分重要。比如湖南师范大学21届考研电子信息380+的复试线,炸飞了,但是22届可能就是大家觉得太高了,报的人少了很多,反倒导致今年不那么卷了,350+排名中上,不出什么大差错基本是稳上。这就要看大家的分析了。
2、初试经验
英语:(对基础好的同学)
如果你基础比较好,可以在坚持每天背单词和一点练习的情况下缩小复习时间。这里我以自身举个例子,我是四六级裸考过,阅读高分听力低分。那么我考研唯一需要的就是坚持单词,提高作文和保持阅读手感(我单词到最后都没背完,阅读真题也没写完)。大家不要把考研英语的复习看成是一个必须把单词和真题都做完才算复习完成的过程。英语我认为更重要的是能力的提升,如果我能够保持很高的正确率,那我单词背完没背完,题写没写完重要吗?我说这个绝对不是要大家不背完单词不写完题目,而是希望大家把“几月份必须写完…几月份必须…”的这种思想转变成“几月份必须提升阅读到错几个…几月份必须提升作文到动笔能写到…程度”。千万不要对任务量感到焦虑,在大家反复刷真题背单词的时候,我知道自己应该高效学习,我的时间不允许我花这么多功夫在我原本就还行的英语上,而是应该着重数学专业课。然后在此基础上拔高自己。
英语:(对基础一般的同学)
也可以参考我上面说的,唯一要改的就是你必须将时间分一部分足够的比重给英语。英语是可以肉眼可见提升的科目,你应该知道自己的目标分数和当前分数的差距出现在那个地方,然后针对这个地方进行提升。没必要将市面上所有的课程都过一遍,这会很耽误时间,尤其是有些单词课,真的耽误时间。语法课,大作文课,小作文课,翻译课等,选择自己需要的,选择适合自己的。单词坚持背,记得一段时间就要检查一次自己的学习成果。尤其是这是不能间断的。哪怕你提升上去了,后面可以少花些时间了,每天的单词和练习也必不可少。
政治:
政治不需要开始的太早,如果时间充足,暑假可以过一轮基础课,九月份开学再看其实也来得及,然后在1000题,十月份可以多刷一点一千题,边刷边巩固。后面就是跟着大部队来,小程序刷题,背诵,肖四肖八出来之前要把应该做的都做完,并且做到心中有数。我是很喜欢小程序刷题的。最后任务最重的就是政治大题背诵,这里建议大家提早开始背,不要抱侥幸心理,多背!!
专业课:
我考的时候专业课是数据结构和C语言。今年改成了408。
但是兄弟们提早准备!!!我同学去年408的真的亲生体验到,学了就忘记,学了就忘记。本来自命题是还好的,难度不高,但是也有奴好的就是命题不太知道什么情况,去年专业课还和前年不一样,修改了大纲。今年统考也是好的,大胆预估今年分数不会高到哪里去。
暑假之前至少得学一轮大概的吧,课程太多不建议大家一本一本的学习,要学就一起学,然后做笔记,电子档笔记或者手写笔记都可以,重要的是加深印象,自己把各科的各个章节和其中的联系以及架构都分析出来,知道各门课在讲什么,各个章节在讲什么,是用来干啥的。第一轮需要多花很多时间,因为大家应该都忘记的差不多了,暑假基础没过完的继续加油,暑假结束之前建议大家过完第二轮。后面就是反复过,反复浓缩笔记,反复写题,找知识漏洞。然后真题,真题,真题。
(3)专业课参考书目
王道,然后学校里面的教材。其实408的话我建议直接王道全套就可以。
3、复试经验
面试的时候觉得老师都挺和蔼的,不会咄咄逼人。复试也进行的很顺利,大概十几分钟一个人。问的问题只要好好准备了基本也没啥。如果有项目也可以准备一下,项目难点亮点,项目用了哪些技术栈,你负责什么模块,技术栈也要稍微了解一下,老师可能会感兴趣。然后就是一些实习经历奖项啥的。要做好简历,不用很花里胡哨,简单的一目了然就行。主要是自信,不要畏畏缩缩,千万不要不懂装懂,和老师说话礼貌且自信,声音大一点,说话语速控制好,想着如果你连面试都畏畏缩缩紧张的不行,会给别人一副很没自信很没底气的感觉,人的第一印象就是不太喜欢你,谁不想要一个落落大方的学生呢。我就是没奖项没特别出色的项目,但是面试的时候自信发言哈哈,联系我导的时候导师就说对我印象挺深的。
4、给学弟学妹的建议、鼓励。
考研是一场信息战,是一场孤独的持久战。
如果你是静得下心,理智分析院校,合理规划学习时间,且能坚持下来的人,那么你一定最终能上岸。
在这段时间,你要学会自己一个人独处,学会拒绝,学会自我调节,学会抵制影响你的因素,我教大家一个方法:
每次学的太难了想放弃的时候你告诉自己“你连放弃都敢,为什么不敢坚持”“连这点苦都坚持不下来,以后大风大浪肯定也遭不住”
每次朋友玩你心痒痒“现在的开心代价是你的考卷分数”【当然适当玩耍不要死学】
【经验贴为新祥旭考研原创,未经允许,禁止转载与抄袭】



















