首先是择校和定专业
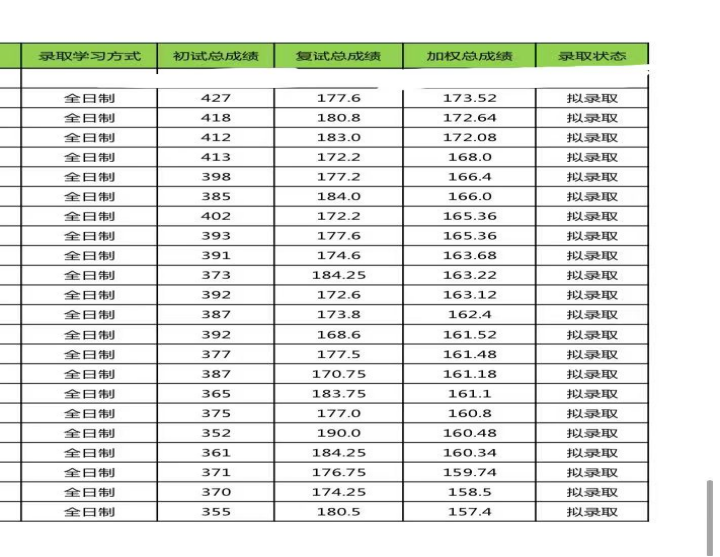
我选择天津大学的原因很简单也很坚定,天津大学的化工在全国是十分强悍的,家人刚好在天津,并且高考的时候特别想上一个985,天津大学简直是完美的选择,但是难度也是十分大,我们院几年也就出来了一个上岸天大的,压力焦虑也随即而来,但是考研这一路,我从来没有想过放弃,一直告诉自己,一定要上岸天大,为了自己,也为了四年的遗憾,能坚持别人不能坚持的,才能拥有别人不能拥有的。但是大家选择学校的时候一定要了解清楚,今年我所选的专业天津大学化工学院材料与化工专硕精细化工方向今年相对于去年缩招了8人,去年录取人数30人,今年只有22人,所以今年录取最低分是352分,分数是挺高的了,但是天津大学化工院每年的情况基本上很稳定,院线只有320分,只要努力,考上的希望很大的,最后不管你出于什么理由,一旦定好了学校,心就不要再动摇了,马上着手考研工作,努力朝着方向去就行了。
附图一张今年我们专业录取的分数。

第二,备考天津大学
专业课826化工原理
首先是用书
《化工传质与分离过程》,贾绍仪、柴诚敬主编,化学工业出版社。
《化工流体流动与传热》,柴诚敬,张国亮主编,化学工业出版社。
《化工原理复习指导》,柴诚敬,王军等主编,天津大学出版
我是6月份开始第一轮化工原理的复习,从精馏开始直接做的复习指导,因为大二学校开设过这门课,多多少少有些印象,自信满满开始之后发现自己很多很多的知识点都不会了,一边做题一边崩溃,而且精馏有些是经验式,怎么都想不明白,在这里要告诫下一届学弟学妹但是不要钻牛角尖!!!我经常一道题做不出来,钻牛角尖,导致一晚上就做一道题,因此浪费很多时间,如果实在不会的要做好标记,等知识融会贯通的时候也许就会了,我花费了大概两个月时间结束专业课基础知识的学习。八月到十月份,学习指导全面过,一定要精做,不要依赖答案,每道例题保证自己不看答案能做出来,然后用计算器压出答案,特别是课后习题,甚至会出现原题。十月到十一月(其实我在九月十月就开始了,但是我是把所有真题的吸收做完,然后蒸馏做完,依次做,不建议我这样做,有点着急了,后期根本不知道自己到底什么水平,大家可以避雷我这种学习模式)真题第二遍,一天一套卷,30套卷,有时候遇到卷子简单,我会做不止一套,或者当天再加一些之前真题里自己做错的题,十一月到十二月,学习指导精做第二遍,这一遍速度就相当快了,因为大部分题都会做。进入十二月做错题,学习指导上几遍下来还是不太熟悉的题,再认真做一遍。
22年的卷子总体不难,我一小时四十分钟就做完了第一遍,两个半小时过去我检查一遍结束,剩半小时,看看小题,交卷,总体还是不错的。
我认为做白皮学习指导精做三遍和真题两遍,做熟练,130+应该没问题。
化工原理的特点就是计算题特别多,而且难算,所以化工原理每天都要坚持做题,做到考前一晚上。大家如果在考研复习过程中有困难的话,也不妨报一个辅导班,比如新祥旭考研全科一对一私人订制VIP辅导课程,针对性强,上课时间可以灵活协商,课下还可以免费答疑解惑,对考研初复试应试备考这块的帮助是非常明显的。
政治:
因为我是工科生,所以政治开始的比较晚八月份中旬才开始准备,如果平时对政治不敏感的同学可以稍微提前一个月,但是不建议早于七月份。我首先听了徐涛的强化,但是只听了马原和史纲部分,众所周知政治拉分就在选择题上,八月份就开始做1000题,结束之后,每天背15分钟腿姐的小册子,进入11月份之后,就疯狂刷题,买套卷、微信小程序利用零碎时间刷主流老师的选择题,并且背诵知识点。政治的大题我背了一部分腿姐压的题,肖四和肖八的大题基本上每个考研的同学都知道,我也不例外,但是时间紧,拿到肖四,大概有半个月时间背大题,我穿插腿姐的押题,最后背了肖四的前两套。
英语
考研英语套路还是比较多的,和平时英语成绩没有那么大的正相关,所以英语差的同学也不要灰心。英语的成败在阅读上,阅读的成败又在单词上,开始准备考研的时候就要开始背单词了,时间不够的话可以选择那些整理出核心词汇的书开始背,不喜欢纸质书的可以选择在手机上背,同时长难句也可以安排上了,我听了刘老师的长难句简单留了个印象,核心词汇过一遍以后就可以做阅读了,开始可以一天一篇,先用25分钟的时间做,做完精翻,整理出自己不会的单词,拿出来背,通过做几年的真题你就会发现自己的阅读能力,翻译能力大大提升,然后就要慢慢提速,卡着时间做,如果翻译没问题,理解出现偏差,配套唐老师的阅读,效果还是很好的,作文一定要有自己的模板,背熟练即可。
数学
今年数学算比较难的,还好准备的稍微早一些,我从三份开始基础课程,七月之前基本上基础结束张宇30讲,完成1800基础部分和张宇300题,暑假开始张宇老师的18讲强化,暑假两个月完成强化,并尽最大努力做1000题,同时针对自己比较薄弱的部分找专题练习,暑假经历了疫情和洪水,九月下旬才开学,然后开始做真题,我做了30年的真题,最开始几年比较简单不用三个小时就可以做完。后面10几年就偏难一些。从后面10套开始,我是每两天写一套,完全模拟考试时间,上午八点半开始到十一点半结束,之后给自己批改打分,整理改错。11月开始到12月冲刺阶段模拟预测卷,我做了李林6的模拟预测,我觉得有真题的难度和感觉,李林的题选择填空出的挺难的,计算量比较大,因为数学现在只有6道大题了,计算量只能放在选择填空,接着二刷近十年真题,十二月份做了李四,结束之后在没做其他预测卷,剩下半个月做自己整理的错题。
一些小提醒
数学最重要的是要独立做和动手做,不能边看题边看答案,也不能看答案会了,就不动手自己写一遍,切忌眼高手低。数学的资料我高数部分全程跟的张宇老师,线代部分跟的李永乐,但是不要过于纠结选哪一个老师,网课不要多看,要自己去做题才能提高。
复试经验
复试科目是《精细有机合成工艺学》,天津大学很保护一志愿,并且如果初试分数高,复试基本上不用担心,复试老师都很温柔并且不会刁难人,安利天大的复试老师,真的超级温柔,复试过程基本上无紧张感,节奏很快。今年精细化工方向,进复试34人,但是最终只录取了22人,最低分数355分,想要稳一些370左右。
2023级学弟学妹已经在拼搏了,这一年注定是孤独的一年,一个人吃饭,一个人学习,一个人回宿舍,如果太孤独可以找个研友,但是要天天正能量的,不抱怨,两个人在一起学习,共同进步,一起上岸,还有今年尽量不要开启一段新的恋情,如果开启了,千万不要吵架,为了上岸,感情问题可以稍稍往后放,最后但愿你少年驰骋,仗剑天涯,愿你眼眸有星辰,心中有山海,以梦为马,不负韶华。


















